首页 | 汽车研究网_汽车智库互动平台 官方微信 科瑞咨询  
汽车研究网,我的汽车领域专家
  国内资讯  国际资讯  行业快讯 新能源 智能汽车 前沿技术 数据快讯  
乘用车 卡车 客车 专用车 零部件 发动机 自主品牌  
高层动态 合资合作 整合并购 战略规划 出口 召回 终端市场 经营业绩 人事变动 新品上市 品牌营销  
国际政策 国内政策 地方政策  
经济指标 改革规划 基建投资 能源环境 金融商贸    
知识术语  汽车人物  汽车展会  科研院校 人才招聘    
热点透视 产销分析 展会论坛 厂商专题    
深度解读 《车用动力电池回收利用 余能检测》知多少?
来源:高工锂电   编辑:杨逸轩  2017-07-13 17:36:07 字号   打印  收藏

近几年,随着我国能源危机加深,民众环保意识增强,新能源汽车产业迅猛发展。在混合动力汽车技术逐步成熟,动力电池成本逐步降低大背景下,各大企业纷纷扎堆进入新能源汽车行业。然而如何解决新能源汽车退役动力电池流向以及废电池带来的二次污染,正成为当下行业热点话题。

动力电池的使用年限在5~8年,作为新能源汽车的核心零部件的车用动力电池的需求量和报废量也将与日俱增。预计到2020年,中国汽车动力电池累计报废量将会达到20万吨的规模。而废旧动力蓄电池回收市场将从2018年开始爆发,相关机构结合汽车报废年限、动力电池寿命等因素,对电动汽车动力电池报废量进行了预测,到2025年中国电动汽车车用动力电池年报废量或可达到35万吨的规模。

为保障废旧动力电池二次使用安全性和科学性,亟需一套适用于废旧动力蓄电池剩余容量检测的统一标准。7月12日,由广东邦普循环科技有限公司、湖南邦普汽车循环有限公司(原湖南邦普报废汽车循环有限公司)牵头起草的国内首个关于回收利用检测动力电池的国家标准《车用动力电池回收利用余能检测》(GB/T34015-2017)(下文简称《余能检测》),获国家质量监督检验检疫总局、国家标准化管理委员会批准发布。

该标准规定了车用废旧动力蓄电池余能检测的术语和定义、符号、检测要求、检测流程及检测方法,且适用于车用废旧锂离子动力蓄电池和金属氢化物镍动力蓄电池单体、模块的余能检测。下面本文将对该标准内容进行以下解读:

谨遵原则、与时俱进、应势而出

锂离子动力蓄电池和镍氢动力蓄电池的容量和循环性能都远远超过铅酸蓄电池,因此,即使从电动汽车上报废以后仍然具备极大的循环利用价值,为了将废旧动力蓄电池的剩余性能的价值充分发挥,可将其再次应用于储能设施或其他低功率电动装置,从而实现资源利用的最大化。废旧动力蓄电池剩余的实际容量作为评估废旧动力蓄电池可再使用的重要的技术指标,废旧动力蓄电池的实际容量越高,其使用价值也越高,如果实际容量低,则说明蓄电池的内部结构发生变化,存在安全隐患。另外,由于废旧动力蓄电池已经不再应用于电动汽车,转而用于应急电源储能或小功率电器,使用对象和条件的变化使得其检测条件有别于新品,需要制定新的检测方法。因此,该标准在制定的过程中充分考虑了余能检测的安全性、检测方法的适用性及当前国内检测的技术水平。

严格检测流程和高安全性的要求

《余能检测》规定废旧动力电池的作业程序应具备严格检测流程和高安全性的要求来进行。检测流程是进行动力蓄电池余能检测的最重要过程,包括外观检查、极性检测、电压判别、充放电电流判别、余能测试等步骤。车用动力蓄电池的余能检测应按图1所示的作业流程进行。

Ya——动力蓄电池满足企业技术规定条件中的外观条件;

Na——动力蓄电池不满足企业技术规定条件中的外观条件;

Yb——动力蓄电池满足企业技术规定条件中的电压限值条件;

Nb——动力蓄电池不满足企业技术规定条件中的电压限值条件;

图1动力蓄电池检测流程

动力蓄电池从生产到应用,再到报废,最后流入回收企业时,可能已经产生各种不确定状况。回收企业回收的废旧动力蓄电池中,有基本无损的,但更多的是缺少信息标签,如电池种类、材料、厂家等信息。还有的蓄电池已经损坏十分严重,已经无法再进行检测。因此,在进行余能检测之前,需要对废旧动力蓄电池进行判别。外观有变形、裂纹、烧坏、鼓胀、漏液等的动力蓄电池,为了安全起见,应严禁进行余能检测。部分不确定其种类,但仍可检测其电压的动力蓄电池,可以用电压表测量检测其电压,以确定其蓄电池种类。一般锂离子蓄电池的电压为3.7V,磷酸铁锂蓄电池为3.2V,镍氢蓄电池的充电终止电压是1.4V。

对于通过测量电压仍不能确定其种类的动力蓄电池,则需要进行充放电试验进行判别。

确定动力蓄电池的种类后,再分别根据锂离子蓄电池和镍氢蓄电池的特性进行不同的充放电试验,确定其剩余容量。具体步骤如下:

首先,在对外观进行检查时:应在良好的光线条件下,用目测法检查动力蓄电池模块、单体的外观,如有变形、裂纹、漏液等,不应对其进行余能检测;并且当用目测法检查动力蓄电池单体、模块的外观,如有主动保护线路,应去除后再检测。其次,在进行信息采集、电压判别时:应观察动力蓄电池外观上的标签,收集动力蓄电池基本信息,如标称电压、标称容量或标称能量等;再称取动力蓄电池质量,并记录;而用电压表检测动力蓄电池的端电压,初步判定蓄电池类别,并判别电池极性。如下图2所示:

然后,在首次充放电电流确定时,就单体方面而言,对于有标签且可直接从标签上获得标称电压、标称容量或标称能量等信息,根据信息确定首次充放电电流。如图3所示:

而对于无标签或者不可直接从标签上获得标称电压、标称容量或标称能量等信息,根据下表确定首次充放电电流。如图所示:

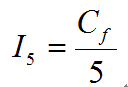
接着,在I5的确定中,用电性能检测仪以首次充放电电流恒流方式进行充放电试验,按式以下计算I5:

式中:I5——5h率放电电流(A);Cf——以首次充放电电流恒流放电测得蓄电池容量(A•h)。

而材料判别中,用电性能检测仪进行充放电试验,初步判定蓄电池材料类别。通过电性能检测仪对动力蓄电池进行测试,测试后可得到充放电压平台、充放电曲线等信息,可根据上述信息初步判定蓄电池材料类别。

最后,在前面步骤完成的情况下方可进行余能检测。

此外,该标准第5.1条检测安全要求中,要求检测过程应配备具有蓄电池检测知识的专业人员全程值守监控;检测场所应配备消防必备;同时检测过程应采取必要的绝缘措施,如绝缘手套、绝缘鞋(靴)、绝缘工具等。由此可见,《余能检测》对安全性的要求极高,这也从侧面反映了废旧动力电池在回收利用中存在的安全隐患,也强调了废旧动力电池应该由专业化的处理机构或企业来回收处理。同时,也亟需建立动力电池回收标准体系,搭建动力电池生产商、电动汽车生产商及第三方回收机构的合作平台,联合开展动力电池回收及再利用工作。《余能检测》的发布与实施将解决回收利用中检测、安全性等行业性的发展难题,有助于规范我国车用动力电池的回收利用,为推动梯次利用提供先行标准,对提高行业的规范化及完善动力电池回收体系具有积极意义。

严格要求规范检测

动力电池经过长期的循环充放电使用,内部的正负极材料、隔膜材料会由于材料微观结构的改变使得材料性能下降,最终导致动力蓄电池的整体性能会出现极大的衰减。除此以外,长时间的路面颠簸、水分侵蚀、空气氧化,可能会出现物理结构的松动和电解液漏液等,存在诸多安全隐患。因此,一套适用于废旧动力蓄电池的剩余容量的检测的统一标准,是保障废旧动力蓄电池二次使用安全的重要前提。《余能检测》标准的发布,将有助于提高废旧动力蓄电池余能检测的安全性和科学性。

总而言之,在未来,电池原材料最大的供应来源将不再是矿山,而是电池回收企业。所有整车厂和电池厂都将回收处理废旧动力电池,或将废旧电池交给像邦普这类有回收资质的企业进行处理。在动力电池回收市场即将爆发的背景下,《余能检测》不仅为动力电池回收在余能检测方面提供了安全性和再生性的可行方案,同时也通过统一“门槛”规范行业发展,未能达到标准要求的企业将面临市场残酷的淘汰。在政府部门的严格监管和企业的创新发展下,实现真正意义上的可循环、可持续发展的动力电池产业链将不再遥远。

上一篇:中汽协建议新能源车购置税减免优惠延长至2025年
【匠歆出品】春日履约,共赴新程@The ArtiAuto Week 2026匠歆汽车攻坚周 | 3月26-27日,上海
2026年3月26-27日,上海,“The ArtiAuto Week 2026匠歆汽车攻坚周 ”正式集结。这里没有浮夸的展望,只有硬核的探讨、实战的分享与前沿的碰撞。AutoCS、AutoPEPS、AutoDrive三线并进,一票通行,直面智能汽车最深层的挑战与机遇。 [详细]
2025-12-11 08:59:56
 
2025年Automechanika Shanghai圆满闭幕,与会观众人数达到253,691再创新高
上海,2025年12月2日。上海国际汽车零配件、维修检测诊断设备及服务用品展览会(Automechanika Shanghai)于2025年11月26至29日在国家会展中心(上海)顺利举行,并以多项破纪录数据和空前规模绘出又一幅全产业链生态图景。 [详细]
2025-12-02 17:42:20
 
第22届中国(国际)锂电及储能技术展
第22届中国(国际)锂电展齐聚“淮海经济区中心城市” 江苏徐州,于徐州淮海国际博览中心盛大启幕。围绕新兴能源、新能源电池、装备、材料及全产业链,聚焦新能源供给侧与需求侧,推动行业资源整合与项目落地。展会集中展示新技术、新产品、新模式、新业态,致力打造集专业性、实践性、国际性、前瞻性于一体的新能源领域综合平台。 [详细]
2025-12-02 17:35:57
 
2026第11届亚太储能技术及应用展同期举办2026世界电池及储能产业博览会暨第11届亚太电池展
[详细]
2025-12-01 19:11:39
 
WBE2026世界电池及储能产业博览会暨第11届亚太电池展/亚太储能展
WBE世界电池及储能产业博览会(亚太电池展/亚太储能展)致力于构建“电池、储能、氢能、光伏风电”等全产业链生态闭环,促进全球市场贸易与产业链采购供需!已连续成功举办10届,并发展成为电池、储能成品领域较大规模专业展,也是行业内参展电池与储能品牌企业数量较多,以及应用端专业观众与国外采购商参与度较高的专业展!展会主题紧密契合国家政策方向,展示锂电、铅酸、钠电、固态电池、氢电等多元化技术。WBE以其享誉全球的影响力和每届数以千计的海外买家帮助参展企业参展一次面谈数百专业采购商与海外优质客商,被誉为“电池储能行 [详细]
2025-12-01 19:10:20
 
lAPS 2026国际重型动力系统峰会注册开启,聚焦“零碳动力革命”
自2014年首届峰会成功举办以来,IAPS中国国际汽车动力系统峰会已走过十二载不凡历程。作为主办方,上海佰觅商务咨询有限公司始终深耕汽车动力系统领域,紧密追踪技术演进与产业变革,持续为行业搭建高质量、高规格的交流平台。十二年来,IAPS峰会见证并推动了中国汽车动力系统从传统内燃机优化,到混合动力普及,再到电动化、智能化、零碳化的跨越式发展,已成为中国乃至全球汽车动力领域最具权威性和影响力的年度盛会之一。 [详细]
2025-12-01 19:07:28
 
IAPS2026第十四届中国国际汽车动力系统峰会注册开启,聚焦“零碳动力革命”
以“零碳动力革命:从技术突破到系统重构”为主题的IAPS2026第十四届中国国际汽车动力系统峰会,定于2026年3月31日至4月1日在中国上海隆重举办。本届峰会将汇聚全球汽车行业的领袖、技术专家、核心供应商及政策制定者,共同探讨在碳中和目标驱动下,汽车动力系统如何实现深度转型与系统性重构,助力全球汽车产业迈向绿色可持续未来。 [详细]
2025-12-01 19:04:32
 
2026第十六届上海国际智能网联新能源汽车技术与生态链博览会
由英佛会展携手中国电工技术学会、上海市汽车工程学会及相关单位共同主办的“2026第十六届上海国际智能网联新能源汽车技术生态链博览会(NEAS CHINA 2026)”,将于2026年8月12日 - 14日在上海新国际博览中心隆重举办,目前展会已获得UFI权威认证。 [详细]
2025-12-01 19:03:02
 
2026第二十一届上海国际汽车内饰与外饰展览会暨智能舱驾一体化科技展
在汽车行业加速变革的当今时代,汽车内外饰领域的创新已然成为重塑驾乘体验的关键要素。由英佛会议展览(上海)有限公司主办的全球极具影响力的汽车内外饰行业盛会——2026第二十一届上海国际汽车内饰与外饰展览会暨智能舱驾一体化科技展(CIAIE 2026),将于2026年8月12日至14日在上海新国际博览中心盛大举行。 [详细]
2025-12-01 19:00:09
 
第五届汽车行业人才培养院长论坛在大连隆重开幕
2025年11月22日,由中国汽车工程学会主办,大连理工大学、山东交通学院、中国汽车工程学会人才工作委员会、中国汽车工程学会汽车技术教育分会、辽宁省汽车产业链产教融合共同体承办的第五届汽车行业人才培养院长论坛在大连隆重开幕。中国汽车工程学会理事长张进华先生,中国工程院院士、中国汽车工程学会副理事长、大连理工大学党委书记项昌乐先生,大连理工大学党委常委、副校长张弛先生,中国汽车工程学会监事长、中国汽车工程研究院股份有限公司原董事长李开国先生,中国汽车工程学会副理事长、人才工作委员会主任委员、国家工程研究中心 [详细]
2025-12-01 18:47:27
 
 
一汽-大众第1000万台发动机下线
宁德时代计划在印尼建厂 将投资50亿美元
LG化学高镍电池预计明年交付特斯拉
大众在欧洲或需要40座电池厂
热点排行
1
2
3
4
5
6
7
8
9
10
新闻专题
· 第十六届中国汽车产业发展(泰达)国际论坛
· 2018年北京国际车展专题报道
· 2017年上海国际车展专题报道
· 2017中国国际节能与新能源车展专题报道
· 2016北京国际车展专题报道
· 2016年天津国际客车、公交车及零部件展
· 2015天津国际客车、公交车及维保工具展
回顶部
关于我们 智库平台 科瑞咨询 招聘英才 联系我们 法律声明
电话:4006-997-802    客服邮箱:market@autothinker.net    投稿邮箱:news@autothinker.net
Copyright @ 2010 - 2018 China-Qiche All Rights Reserved 沈阳科瑞信息有限公司 版权所有 辽ICP备18018472号 增值电信业务经营许可证 辽B2-20180363
手机版
执行时间:1.51 秒