首页 | 汽车研究网_汽车智库互动平台 官方微信 科瑞咨询  
汽车研究网,我的汽车领域专家
  国内资讯  国际资讯  行业快讯 新能源 智能汽车 前沿技术 数据快讯  
乘用车 卡车 客车 专用车 零部件 发动机 自主品牌  
高层动态 合资合作 整合并购 战略规划 出口 召回 终端市场 经营业绩 人事变动 新品上市 品牌营销  
国际政策 国内政策 地方政策  
经济指标 改革规划 基建投资 能源环境 金融商贸    
知识术语  汽车人物  汽车展会  科研院校 人才招聘    
热点透视 产销分析 展会论坛 厂商专题    
第12批新能源免购置税目录发布 云度π1/吉利帝豪EV400
来源:EV世纪   编辑:杨逸轩  2017-09-05 16:33:31 字号   打印  收藏

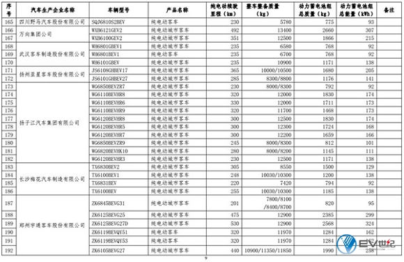
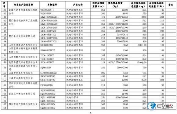
9月5日,工信部发布了第12批《免征车辆购置税的新能源汽车车型目录》。其中纯电动车型包括:50款纯电动乘用车型、228款纯电动客车车型、1款纯电动货车车型和138款纯电动商用车型。插电式混合动力车型包括:2款插混乘用车型、66款插混客车车型。外加上汽的一款氢燃料电池客车,共计486款新能源车型进入12批免购置税车型目录。

8月29日,中汽协组织召开关于新能源汽车的“两会”精神宣贯会上,相关领导再次重申破除地方保护。各地要取消小目录,统一按国家“目录”给予补贴和牌照,否则可能将出台针对性的惩罚(地方保护主义的)措施。 在此基础上,国家新能源推荐车型目录和新能源汽车免购置税目录,未来或将成为新能源车型的主战场。

8月底刚刚下线的云度新能源汽车π1进入了本次目录,工况续航分别为150公里(城市版)和250公里(城际版),补贴后售价在8-10万,作为造车新势力的首款上市新能源车型,市场表现值得期待。

长安计划在四季度上市的CS15EV纯电动SUV,也进入了第12批新能源汽车免购置税目录,根据目录公示,长安CS15EV工况续航为300公里,搭载的动力电池为43度电。另外,长安奔奔EV的也有两款新车进入目录,工况续航提升至180/251公里。

奇瑞eQ1也有两个新版本进入了该批目录,工况续航分别为185公里和251公里,如果售价保持不变,那么程价比相对较高。

吉利共有11款纯电动乘用车型进入此次目录,主要是帝豪EV和帝豪GSE400的不同版本。但是新进目录的车型,工况续航基本都提升至351公里和400公里。

另外,通过申请新能源推荐车型等目录曲线获得纯电动乘用车生产资质的御捷,此次目录也有4款车型进入目录,工况续航都在150-153公里,整车质量大约1100公斤左右,主打微型电动汽车市场。

上一篇:107款专用车进入第八批新能源汽车推广目录,北京华林/
第二批公共领域车辆全面电动化先行区试点启动,10城入选
为进一步提质扩面做好公共领域车辆先行区试点工作,支持地方进行广泛技术和模式创新,更好促进新能源汽车消费,工业和信息化部、交通运输部等八部门近日启动第二批公共领域车辆先行区试点,实施周期为2024年至2026年。 [详细]
2025-03-02 17:01:48
 
交通运输部与科技部联合印发《关于科技创新驱动加快建设交通强国的意见》
近日,交通运输部与科技部联合印发的《关于科技创新驱动加快建设交通强国的意见》中,确立两个阶段性目标:一是到2025年,交通运输基础研究和应用基础研究显著加强,关键核心技术取得突破,前沿技术与交通运输加速融合,初步构建适应加快建设交通强国需要的科技创新体系。二是到2035年,交通运输基础研究和原始创新能力全面增强,关键核心技术自主可控,前沿技术与交通运输全面融合,基本建成适应交通强国需要的科技创新体系。 [详细]
2021-08-26 16:27:35
 
商务部部长王文涛:扩大二手车流通 促进梯次消费、循环消费
商务部部长王文涛在国新办23日举行的新闻发布会上表示,我国已经成为全球第二大消费市场、第一贸易大国,利用外资和对外投资都稳居世界前列。王文涛表示商务部下一步要顺应消费形势,从以下几个方面做工作:1、提升传统消费能级,推动汽车由购买管理向使用管理转变,特别是扩大二手车流通,这段时间我在专门研究二手车,促进消费的梯次消费、循环消费;2、加快培育新型消费,包括智慧商店、无接触配送、到家服务等新业态新模式;3、搭建消费升级平台,通过消费平台的创新发展,通过“点线面”的结合,把扩大消费同改善人民生活品质结合起来。 [详细]
2021-08-24 17:07:58
 
九部门印发指导意见推动农村客运高质量发展
8月13日,交通运输部会同公安部、财政部、自然资源部、农业农村部、文化和旅游部、国家乡村振兴局、国家邮政局、中华全国供销合作总社,印发了《关于推动农村客运高质量发展的指导意见》。 《指导意见》提出了八方面主要任务,同时确定了“十四五”期及2035年的发展目标:到2025年,基本建成安全、便捷、舒适、经济的农村客运体系,农村交通出行条件显著改善,农村地区基本出行服务保障能力持续提升,城乡客运公共服务均等化水平明显提高,农村客运可持续发展机制基本建立。远期目标是:力争到2035年,基本建成普惠均等、便捷舒适、 [详细]
2021-08-18 17:11:17
 
《关于加强智能网联汽车生产企业及产品准入管理的意见》解读
工业和信息化部12日消息,近日,工业和信息化部发布了《关于加强智能网联汽车生产企业及产品准入管理的意见》。《意见》指出,将加强汽车数据安全、网络安全、软件升级、功能安全和预期功能安全管理,保证产品质量和生产一致性,推动智能网联汽车产业高质量发展,指导企业加强能力建设,严把产品质量安全关,切实维护公民生命、财产安全和公共安全。 [详细]
2021-08-18 16:42:01
 
《内燃机产业高质量发展规划 (2021~2035)》发布
中国内燃机工业协会在六届五次理事 (扩大)会议上发布了 《内燃机产业高质量发展规划 (2021~2035)》 ,提出力争2028年前内燃机产业实现 "碳达峰",2030年实现 "近零污染排放",2050年实现"碳中和",满足国民经济建设、国防安全和人民生活对高效、清洁、低碳内燃动力的需求。 [详细]
2021-08-10 14:42:32
 
新能源车险专属条款出台!含电网、充电桩六大特有附加险,意外事故覆盖起火燃烧
近日,中国保险行业协会发布了《新能源汽车商业保险专属条款征求意见》的通知。征求稿中包含有附加外部电网故障损失险;附加自用充电桩损失保险;附加自用充电桩责任保险;附加智能辅助驾驶软件损失补偿险;附加火灾事故限额翻倍险;附加新能源汽车增值服务特约条款。此外,意见稿中还有附加智能辅助驾驶软件损失补偿险。 [详细]
2021-08-09 15:19:20
 
“蓝牌轻卡新规”正式征求意见!冷藏车不受2.5L限制、排量过渡期至明年
8月3日,工业和信息化部联合公安部公开征求《关于进一步加强轻型货车、小微型载客汽车生产和登记管理工作的通知》(征求意见稿)的意见。意见稿中拟发布轻型货车相关技术要求,其中冷藏车不受2.5L排量限制,同时设置排量过渡期至2022年3月31日。 [详细]
2021-08-06 16:28:36
 
《西部地区鼓励类产业目录》发布 内蒙古、贵州、陕西发展氢能获国家支持
《西部地区鼓励类产业目录(2020年本》提出,鼓励贵州省、陕西省、内蒙古自治区发展氢能产业:其中,鼓励贵州省发展氢加工制造、氢能燃料电池制造、输氢管道、加氢站等涉氢产业;鼓励陕西省发展风电、光伏、氢能、地热等新能源及相关装置制造产业,地热、氢能等新能源产业运营服务;鼓励内蒙古自治区发展高性能稀土永磁、催化、抛光、合金、储氢、发光等稀土功能材料、器件开发及生产,氢加工制造、氢能燃料电池制造、输氢管道和加氢站建设。 [详细]
2021-02-03 15:52:41
 
新版道路运输达标车辆核查规范实施在即 从严把好入口 强化安全节能
日前,交通运输部修订印发《道路运输达标车辆核查工作规范》(简称《核查规范》),进一步规范道路运输达标车辆核查工作,加强车辆技术管理,从严把好道路运输车辆入口关,切实提高车辆本质安全水平。《核查规范》将于今年2月1日起正式实施。 [详细]
2021-01-29 14:31:05
 
 
一汽-大众第1000万台发动机下线
宁德时代计划在印尼建厂 将投资50亿美元
LG化学高镍电池预计明年交付特斯拉
大众在欧洲或需要40座电池厂
热点排行
1
2
3
4
5
6
7
8
9
10
新闻专题
· 第十六届中国汽车产业发展(泰达)国际论坛
· 2018年北京国际车展专题报道
· 2017年上海国际车展专题报道
· 2017中国国际节能与新能源车展专题报道
· 2016北京国际车展专题报道
· 2016年天津国际客车、公交车及零部件展
· 2015天津国际客车、公交车及维保工具展
回顶部
关于我们 智库平台 科瑞咨询 招聘英才 联系我们 法律声明
电话:4006-997-802    客服邮箱:market@autothinker.net    投稿邮箱:news@autothinker.net
Copyright @ 2010 - 2018 China-Qiche All Rights Reserved 沈阳科瑞信息有限公司 版权所有 辽ICP备18018472号 增值电信业务经营许可证 辽B2-20180363
手机版
执行时间:1.51 秒